Up 「腐植物質」 作成: 2024-03-15
更新: 2024-03-30


    「腐植物質」
      「土壌微生物の活動により動植物遺体が分解・変質した物質の総称」

    先ずは「腐植物質」のことばを立てて,これを考えよう──という体勢である。


      和田信一郎『土壌学』, 5.5.2. 腐植物質, p.71.
    腐植物質は,あえて分類するとすれば,低分子〜高分子の有機酸であり,1分子に多数のカルボキシ基(COOH基)を持っている.
    土の表層で生成した腐植物質は,土の鉱物と反応しながら下方に移動する.
    この過程で,カルボキシの大部分にはアルミニウム,鉄,カルシウムなどの多価金属イオンが結合し,ただちに水溶性を失う.
    このため,高分子量の腐植物質は,ほとんど移動することなく土の表層に集積する.
    しかし,比較的低分子量の腐植物質は土の鉱物と反応しながら下層へ移動し,カルボキシ基が金属イオンで満たされて水溶性を失ったり,あるいはカルボキシ基を介して土の鉱物に結合したりして土の下層に集積する.
    腐植物質は,落葉落枝が供給される土のごく表層で最も多く生産される.
    それが下層へ移動する過程で土に含まれる鉱物と反応するのであるが,この反応は,腐植物質によって鉱物が土の表面から溶解される反応に他ならない.
    この反応が引き続きくと,土に含まれる酸化鉄,水酸化鉄鉱物が溶解され尽くすこともある.
    酸化鉄,水酸化鉄鉱物は土の赤褐色ないし黄褐色の色調を与えている鉱物である.
    これらの鉱物が溶解されると,その部分は灰白色を呈するようになる.‥‥‥
    このような溶脱層はA層の一種であるが,E層とよばれる.
    また一部の低分子量の腐植物質は溶脱して地下水に到達するし,河川や湖沼へも溶出する.

      同上, 7.2.2. 腐植物質とは何か, p.103.
    ‥‥ 腐植物質は通常の有機化学分析によっては同定できない一群の高分子化合物の総称であり,その構造の特徴によって明示的に定義される物質ではない.
    構造,分子量ともにきわめて多様である ‥‥
    また土壌毎にその性質はかなり異なっている.

      同上, 7.2.3. 腐植物質の構造, pp.105,106.
    腐植物質群のひとつの特徴は,その分子量分布が非常に広いことである.
    ある特定の土から分離した腐植酸やフルボ酸でさえも,明らかに広い分子量分布を持つ.
    腐植物質の構造研究が困難であることの大きな理由はこの点である. ‥‥
    2つとして同じ分子が存在しないかもしれない腐植物質の場合には,現在の化学分析の手法や考え方は単純には通用しない.‥‥
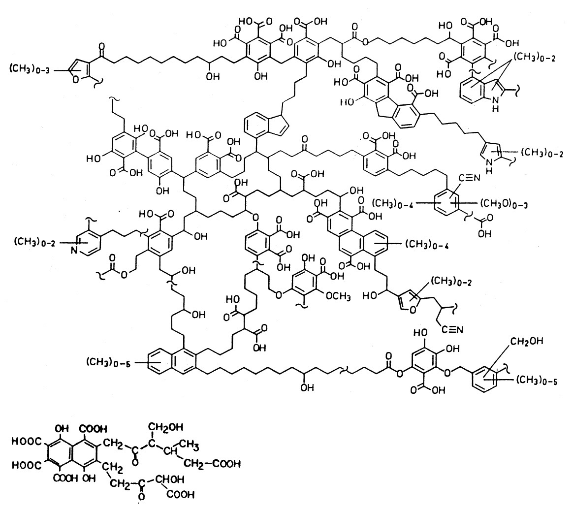
    それでも,官能基分析やNMRスペクトル測定の結果を総合することによって,平均的な腐植酸やフルボ酸の構造モデルを描くことができるようになっている.

    腐植酸 (上) およびフルボ酸 (下) の推定構造の例

      同上, 7.2.3. 腐植物質の構造, p.106.
    腐植酸の構造は複雑であり,その性質はそれが生成した環境や土壌の種類ごとに異なる.
    しかし共通しているのはそれが暗褐色をしていることである.
    土(特にその表層部)が暗褐色をしているのはそこに腐植物質が多く含まれるからである.
    有機化合物の暗褐色は,構造からみると,長くてランダムな共役二重結合が含まれていることによる.
    ここで共役二重結合とは,単結合と二重結合が交互に連なった状態を意味する.
    共役系が吸収する光の波長は,共役系が大きくなるほど長くなる.
    腐植酸の場合には大きさの異なる多くの共役系があるため(大きいものほど数は少ない),短波長から長波長にかけただらだらとした吸収スペクトルをもつ.
    つまり暗褐色に見えるのである.


      同上, 7.4.2. 農地における有機物の機能, pp.111,112.
    腐植物質,特に腐植酸は土の微細鉱物粒子同士を接着し,安定な集合体を形成する機能を持っている.
    粘土含量の高い土では,土粒子が安定な集合体を形成していない場合には,土の孔隙に占める微細孔隙の割合が高くなり,透水性や通気性が低くなる. このような土でも,微細粘土粒子が有機物によって接着され集合体化することによって,透水性や通気性が確保できる.
    土粒子(特に微細な粘土粒子)間の接着には,多数のカルボキシ基も寄与していると考えられる.
    カルボキシ基は,鉱物粒子表面のアルミニウムイオンや鉄イオンに配位することができる.
    腐植物質の1分子は多数のカルボキシ基を持つので,それらが別の粒子の金属イオンに配位することにより,粒子間が接着されることになる.