Up 大統一理論 (grand unified theory, GUT) 作成: 2021-09-03
更新: 2023-04-25



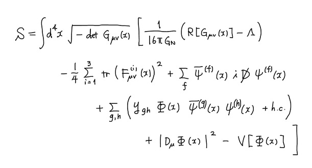
橋本幸士 (2018) :「宇宙のすべてを支配する数式」

秋本 祐希「4つの力と統一理論」