Up
分散の計算
作成: 2014-06-12
更新: 2014-06-12
つぎのヒストグラムに示される度数分布に対し,これの分散σ
2
を計算する。
(註:この文脈になる「分散」の意味は,「加重平均型分散」である。)
平均μは,
「平均の計算」
のところで求めていて,それは 2.6:
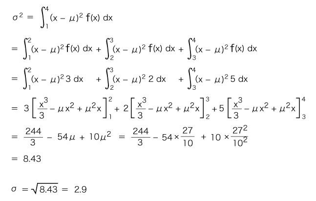
分散σ
2
は,「分散」の定義から:
これを計算すると:
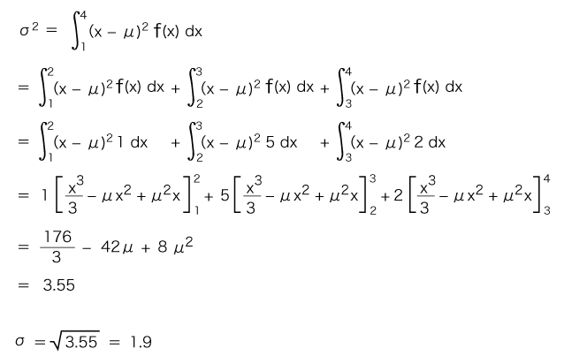
つぎの分布は,上の分布と平均が近い値になる:
一方,分散の値は,だいぶ違ってくる: