Up 「分散」の定義 作成: 2014-06-08
更新: 2014-06-13


分散

    離散型の重み無し分散を,連続型に拡張する。

    値f (i= 1, 2, ‥‥, n) の平均がμであるとき:

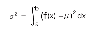
    区間 [a, b] で定義されている f(x) に対し,値f(x) (a≦x≦b ) の平均がμであるときの分散: