Up
正規分布の導出
作成: 2014-06-09
更新: 2014-06-10
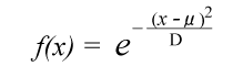
ベル型の関数として,つぎのものを考える:
つぎのように変形:
中心をμに設定
幅を決める定数Dを設定
Dの値によって,幅が変化:
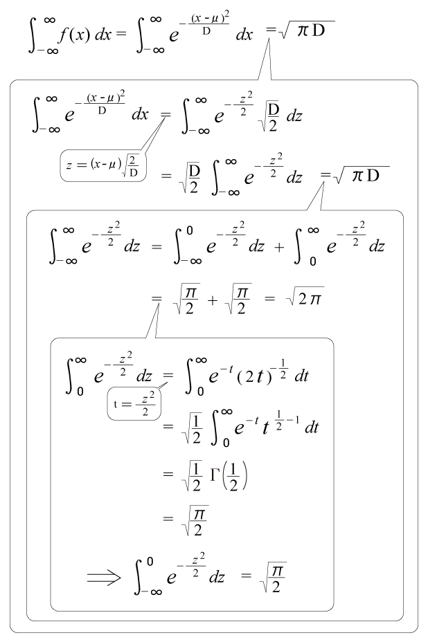
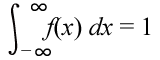
f(x) を確率分布に変えていく──即ち,つぎの条件を満たすように変えていく:
ここで,
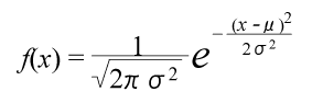
よって,f をつぎの関数に取り直すとよい:
D の値によって,幅・高さが変化:
平均はμになっている:E(x) =μ
§ 左右対称な関数の平均
分散をσ
2
にする:E((x−μ)
2
) =σ
2
よって,D=2σ
2
であればよい。
こうして,最終的につぎの関数を得る: