| Up | 複数の立方体でなる図形の重心 |
同じ立方体 (「単位立方体」) がn個でなる立体図形Sを考えます。 Sの重心をGとし,各立方体の中心 (重心) をPk とします (k=1, ‥‥, n)。 各Pk には,同じ重力ベクトル F が作用しています。 そこで,Gにおける「重力のモーメントが釣り合う」の条件は,つぎのようになります:
ここで,任意に xyz 直交座標を導入して, G(gx, gy, gz), Pk(xk, yk, zk) (k=1, ‥‥, n) とすれば,上の条件は,つぎのようになります:
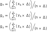
この式に,単位の立方体の体積 (数値) Δ をつぎのように組み入れます:
これは,つぎの表現になります:
|